4.7 Proportie MRI verstrekkingen

Waaruit bestaat de variatie tussen ziekenhuizen in het gebruik van CT en MRI onderzoeken?

In \(58\) ziekenhuizen werd het beleid betreffende substitutie gewijzigd met het oog op een daling van het aantal CT-onderzoeken. Slechts \(50\) ziekenhuizen gebruikt een interne procedure voor substitutie. In \(46\) ziekenhuizen voorzien een interne procedure de toelichting van substitutie in het protocol van het onderzoek. \(83\) ziekenhuizen hebben wel specifieke onderzoeken gedefinieerd die slechts gepland kunnen worden na toestemming van een arts-specialist in de röntgendiagnose.

Er is geen eenduidige informatie over de toepassing van substitutie door de arts-specialist in de röntgendiagnose. Een specifieke nomenclatuurcode voor de toepassing van substitutie door de arts-specialist ontbreekt.

Ratio van MRI/(MRI+CT) per maand in de periode 2017-2019.

Figuur 4.42: Ratio van MRI/(MRI+CT) per maand in de periode 2017-2019.

De figuur 4.42 geeft per gewest de trendlijn van de ratio \(\frac{MRI}{MRI+CT}\) in de tijd. Dit toont voor de drie gewesten het aantal MRI verstrekkingen t.o.v. het aantal CT verstrekkingen toegenomen in de tijd. Deze groei is meer te zien in Brussel dan in Vlaanderen en Wallonië.

4.7.1 Verschil in proportie tussen 2017 en 2019

Figuur 4.43 geeft het verschil weer in de ratio \(\frac{MRI}{MRI+CT}\) in 2017 versus 2019. Deze testen en stijgingen zijn niet toe te passen op ziekenhuizen die in de periode 2017-2019 met MRI verstrekkingen gestart zijn. Daarom zijn voor die ziekenhuizen geen individuele resultaten beschikbaar. Voor uw ziekenhuis is dit het geval.

Voor het Voorbeeld Ziekenhuis is het verschil over \(2\) jaar \(0.802\)%. Dit komt overeen met een jaarlijkse verandering van \(0.896\)%.

Verschil in de ratio tussen 2017 en 2019. Op de figuur zijn ziekenhuizen met een nieuw MRI toestel of die gestopt zijn met MRI niet weergegeven.

Figuur 4.43: Verschil in de ratio tussen 2017 en 2019. Op de figuur zijn ziekenhuizen met een nieuw MRI toestel of die gestopt zijn met MRI niet weergegeven.

4.7.2 Gegevens van het individueel ziekenhuis ter interpretatie van de \(\frac{MRI}{MRI+CT}\)

In figuur 4.44 toont de boxplot de spreiding van de ziekenhuizen buiten het Voorbeeld Ziekenhuis. Het Voorbeeld Ziekenhuis wordt weergegeven met de rode lijn.

Evolutie van de ratio voor alle ziekenhuizen in de boxplot met de evolutie van Voorbeeld Ziekenhuis aangegeven met de gekleurde lijn.

Figuur 4.44: Evolutie van de ratio voor alle ziekenhuizen in de boxplot met de evolutie van Voorbeeld Ziekenhuis aangegeven met de gekleurde lijn.

Regionaal is er een verschil tussen de gewesten voor beeldvorming in brede zin door het hoger aantal CT-verstrekkingen in Wallonië voor ambulante patiënten.

Specifiek voor de verstrekkingen schedel-wervelzuil valt op dat dat er zowel een hoger aantal CT-verstrekkingen als een lager aantal MRI-verstrekkingen gedaan worden in Wallonië.

4.7.2.1 Vergelijking met andere ziekenhuizen

Figuur 4.45 toont het maandelijks terugbetaald bedrag per ziekenhuis voor verstrekkingen met CT en MRI-verstrekkingen.

Figuur 4.45: Terugbetaalde verstrekkingen per ziekenhuis per maand.

4.7.2.2 Gebruik van toestellen zware medische beeldvorming

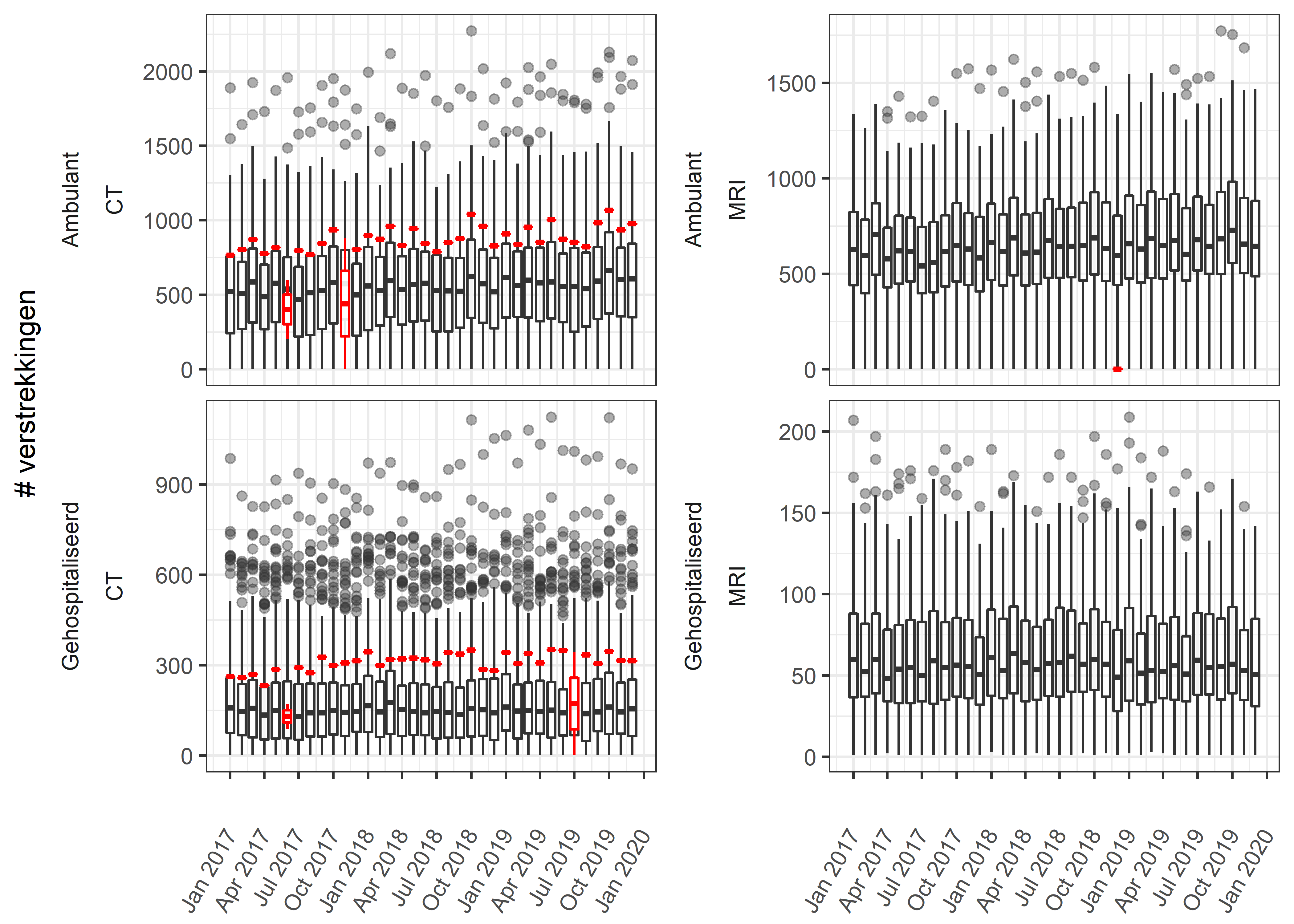
Figuur 4.46 toont de variatie in het aantal verstrekkingen per toestel per maand voor alle ziekenhuizen en voor het Voorbeeld Ziekenhuis in kleur. De variabiliteit in het gebruik van verschillende toestellen is groot, zowel over alle toestellen heen als binnen een ziekenhuis.

Gemiddeld aantal verstrekkingen per toestel type per maand (Voorbeeld Ziekenhuis in het blauw)

Figuur 4.46: Gemiddeld aantal verstrekkingen per toestel type per maand (Voorbeeld Ziekenhuis in het blauw)

4.7.3 Invloed van een verandering van een MRI-toestel op het aantal CT-verstrekkingen

De figuur 4.47 laat hetzelfde zien als de vorige figuur maar dan voor alle nieuwe MRI toestellen. Een nieuw toestel wil niet zeggen dat er een toestel bijkomt maar duidt op een vervanging, upgrade of het inschrijven van een bestaand toestel op een nieuw ziekenhuisnummer ten gevolge van een fusie. In de figuur zijn twee banden te zien overeenkomende met week- en weekenddagen. Er is geen duidelijke invloed van een nieuw MRI toestel te zien in de figuur. Er lijkt eerder een lichte stijging te zijn van het aantal CT verstrekkingen na een introductie van een MRI toestel. Evenwel past binnen de betrouwbaarheidsintervallen ook een horizontale lijn dus is de conclusie dat er geen sprake is van enige zichtbare invloed van de introductie van een nieuw MRI toestel op tijdstip \(0\) op het aantal CT-verstrekkingen.

Aantal verstrekkingen voor ziekenhuizen met een nieuw MRI toestel in de periode 2017-2019.

Figuur 4.47: Aantal verstrekkingen voor ziekenhuizen met een nieuw MRI toestel in de periode 2017-2019.